2024.01.31
1⃣ 確率の求め方
■確率の求め方・・起こる場合が全部でn通りあり、そのどれが起こる
ことも同様に確からしいとする。そのうち、あるこ
とがらAの起こる場合が a 通りであるとき、そのこ
とがらAの起こる確率pは次のようになる。
※たとえばコインを投げる場合では、表が出ることと裏が出ることが同
じ程度に期待できる。このようなとき、どの結果が起こることも同様
に確からしいという。
(例)
1個のさいころを投げるとき、偶数の芽が出る確率
1⃣ 起こるすべての場合は、1,2,3,4,5,6 の6通りあり、ど
の場合が起こることも同様に確からしい。
2⃣ 偶数の目が出る場合は、2,4,6の3通りある。
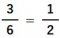
3⃣ したがって、求める確率は
■確率の求め方・・起こる場合が全部でn通りあり、そのどれが起こる
ことも同様に確からしいとする。そのうち、あるこ
とがらAの起こる場合が a 通りであるとき、そのこ
とがらAの起こる確率pは次のようになる。
じ程度に期待できる。このようなとき、どの結果が起こることも同様
に確からしいという。
(例)
1個のさいころを投げるとき、偶数の芽が出る確率
1⃣ 起こるすべての場合は、1,2,3,4,5,6 の6通りあり、ど
の場合が起こることも同様に確からしい。
2⃣ 偶数の目が出る場合は、2,4,6の3通りある。
3⃣ したがって、求める確率は






